Am 25. August fand zum 5. Mal der Internationale Kohlgruber Dorflauf statt. Mit mehr als 50 gemeldeten Teilnehmer*innen war es in jeder Hinsicht eine Rekordveranstaltung. Das Teilnehmerfeld war so international wie noch nie. Vertreten waren Starter*innen aus Deutschland, Uganda, Australien und Brasilien.
Pünktlich um 14:45 Uhr gingen die Bambinis an den Start. Sie standen den etwas Älteren in nichts nach und gingen mit viel Elan auf die Strecke. Und wenn auch ein paar Teilnehmer noch die Unterstützung der Eltern brauchten, so gingen alle Bambinis mit Medaille als Sieger über die Ziellinie.
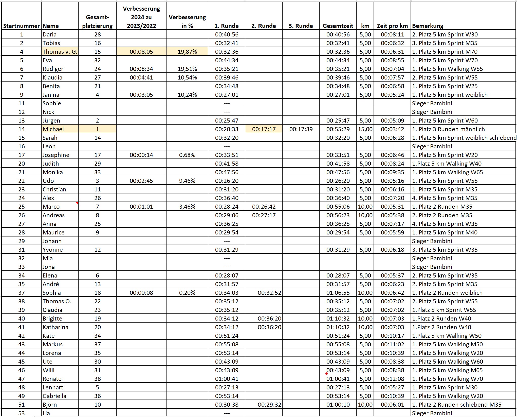
Im Hauptlauf ging es über die gleiche 5 km Runde wie im Vorjahr. Perfekt von den Führungsfahrrädern der Familie Höller (Paul, Jana und Frank) begleitet bewältigten die meisten eine Runde und labten sich danach an dem reichlich gedeckten Buffet, dass die Teilnehmer*innen statt Startgeld mitgebracht hatten. Zum ersten Mal gab es selbst gebrautes Bier aus dem Nachbardorf (für viele ein weiterer Höhepunkt der Veranstaltung).
Neben der immer größer werdenden Walking-Gruppe gab es auch zwei Kinderwagen schiebende Läufer*innen (Sarah und Björn), die zum Teil sogar zwei Runden absolvierten.
Für alle gab es wieder viele motivierende persönliche Ansprachen auf der Strecke. Vielen Dank an Daria, die dafür 2 Stunden vorab auf der Strecke verbracht hat.
Außer Konkurrenz lief wieder mal Michael seine Runden. Am Anfang versuchten zwar Lennart und Jürgen dranzubleiben, aber das war aussichtslos. Michael lief 3 Runden mit einem Schnitt von deutlich unter 4 Minuten. Da konnte keiner mithalten.
Dieses Jahr gab es eine besondere Ehrung für den oder die Teilnehmende, die sich am meisten verbessern konnte. Mit fast 20 % Verbesserung hat sich Thomas den gesondert ausgeschriebenen Pokal, knapp vor Rüdiger, gesichert.
Ein großes Lob geht an alle Teilnehmenden, die sich zum ersten Mal oder wiederholt der Herausforderung des Internationalen Kohlgruber Dorflaufs gestellt haben und diese mit Bravour gemeistert haben.
Vielen Dank an die Zeitnehmerinnen Veronika, Lotte und Tatjana. Sie haben schweren Herzens auf die Teilnahme verzichtet und die professionelle Zeitmessung durchgeführt.
Die Organisation für 2025 hat schon begonnen. Der Lauf wird wieder am letzten Sonntag im August, also am 31.08.2025 stattfinden.
Ergebnisse:
Hier gibt's die ersten Bilder
